6. The Wages of Schooling

Open In Colab
TipLearning Objectives

By the end of this chapter, you will be able to:

  • Explain why the OLS return to schooling may be biased by unobserved ability
  • Use twin fixed effects to control for shared family and genetic factors
  • Understand how measurement error creates attenuation bias, especially in differenced data
  • Apply instrumental variables (quarter of birth, compulsory schooling laws) to education
  • Use regression discontinuity to test for sheepskin (diploma) effects
  • Compare estimates across methods and assess what the true return to schooling is

This chapter is unique: it applies all the methods from the book — OLS, IV, and RD — to a single question. The convergence (and divergence) of results across methods reveals what each method can and cannot do.

graph TD
    A["THE QUESTION: Does education really cause higher earnings?"]
    B["THE PROBLEM: Ability bias may inflate the OLS estimate"]
    C["STRATEGY ONE: Twin comparisons to control for shared ability"]
    D["STRATEGY TWO: Quarter-of-birth IV for exogenous schooling variation"]
    E["STRATEGY THREE: Sheepskin RD to test diploma vs. learning effects"]

    A --> B --> C --> D --> E

    style A fill:#3498db,color:#fff
    style B fill:#c0392b,color:#fff
    style C fill:#8e44ad,color:#fff
    style D fill:#e67e22,color:#fff
    style E fill:#2d8659,color:#fff
    linkStyle default stroke:#fff,stroke-width:2px
Figure 6.1: Roadmap for Chapter 6

Does Education Make You Richer?

College graduates earn roughly twice as much as high school graduates. But does education cause higher earnings, or do smarter, more motivated people simply stay in school longer and earn more regardless?

This is the ability bias problem: if unobserved ability affects both schooling decisions and earnings, OLS overstates the causal return to education.

\[\hat{\rho}_{OLS} = \rho + \underbrace{\text{Ability bias}}_{\text{likely positive}}\]

where \(\rho\) is the true causal return to schooling and \(\hat{\rho}_{OLS}\) is the OLS estimate. If more able people get more education and earn more (for reasons unrelated to school), the OLS coefficient captures both effects. The chapter uses three different strategies to separate them.

But is ability bias necessarily upward? The answer is not obvious:

  • Arguments for upward bias (the standard view): Higher IQ → stay in school longer AND earn more. Schools select on test scores. More-educated parents invest more in their children’s education. All of these create positive correlation between ability and schooling.
  • Arguments for downward bias (the contrarian view): Some highly talented people leave school early to pursue lucrative opportunities. Bill Gates, Mark Zuckerberg, and Steve Jobs dropped out of college; Mick Jagger left the London School of Economics to form the Rolling Stones. If such exceptional ability is negatively correlated with schooling, OLS could actually understate the true return.
  • For most people, the standard view probably holds: the college-dropout billionaires are rare exceptions. But the ambiguity is important because it means we cannot assume the direction of OLS bias without evidence.

Strategy 1: Twin Comparisons

The Logic

Identical twins share genes and family upbringing — the very factors we suspect drive ability bias. If one twin gets more education than the other, the earnings difference within the pair reflects the causal return, not ability.

# Load clean twins data (340 twin pairs from Twinsburg, Ohio)
import pandas as pd
import numpy as np
import statsmodels.formula.api as smf
from linearmodels.iv import IV2SLS

# --- Data source ---
DATA = "https://raw.githubusercontent.com/cmg777/intro2causal/main/data/"

twins = pd.read_csv(DATA + "ch6/twins_clean.csv")

# Key variables:
#   lwage  = log weekly wage; educ = own years of education
#   educt_t = twin's report of respondent's education (instrument)
#   first  = 1 for the first twin in each pair (use to avoid double-counting)
#   dlwage = within-pair difference in log wages; deduc = difference in own-reported education
#   deduct = difference in twin's report of education (instrument for deduc)
twins.head(3)
lwage educ educt_t age age2 female white first dlwage deduc deduct
0 2.479523 16.0 16.0 33.251190 11.056416 1.0 1.0 1.0 0.259346 0.0 0.0
1 2.220177 16.0 16.0 33.251190 11.056416 1.0 1.0 NaN -0.259346 0.0 0.0
2 2.228209 12.0 12.0 43.570145 18.983576 1.0 1.0 NaN -0.721318 -6.0 -4.0

OLS Baseline

# OLS: regress log wages on education with demographic controls
model = smf.ols("lwage ~ educ + age + age2 + female + white", data=twins)
ols = model.fit(cov_type="HC1")

# Show the regression coefficient table
ols.summary().tables[1]
Table 6.1: OLS return to schooling using the Twinsburg twins data. Controls include age, age-squared, gender, and race.
coef std err z P>|z| [0.025 0.975]
Intercept -1.0949 0.292 -3.745 0.000 -1.668 -0.522
educ 0.1100 0.010 10.498 0.000 0.089 0.131
age 0.1039 0.012 8.669 0.000 0.080 0.127
age2 -0.1063 0.015 -7.225 0.000 -0.135 -0.078
female -0.3180 0.040 -7.965 0.000 -0.396 -0.240
white -0.1001 0.068 -1.467 0.142 -0.234 0.034

The OLS return is about 11% per year of schooling. But this may be inflated by ability bias.

Within-Twin Differences

By taking the difference within each twin pair, we eliminate everything shared between them:

\[\Delta Y_f = \rho \cdot \Delta S_f + \Delta e_f\]

where \(\Delta Y_f\) is the difference in log wages (dlwage) and \(\Delta S_f\) is the difference in years of education (deduc) within twin pair \(f\). Shared ability cancels out because both twins have the same value.

# Use only the first twin in each pair (to avoid double-counting)
first = twins[twins["first"] == 1]

# Regress wage difference on education difference
# The "- 1" removes the intercept: when both twins have the same education,
# we expect zero wage difference, so there's no constant term needed
model = smf.ols("dlwage ~ deduc - 1", data=first)
twin_fe = model.fit(cov_type="HC1")

# Show the regression coefficient table
twin_fe.summary().tables[1]
Table 6.2: Within-twin estimate of the return to schooling. Differencing eliminates shared genetic and family factors.
coef std err z P>|z| [0.025 0.975]
deduc 0.0617 0.020 3.119 0.002 0.023 0.100

The twin estimate drops to about 6% — nearly half the OLS estimate. This suggests ability bias pushes OLS upward.

WarningCommon Misconception: A lower estimate is not necessarily a better estimate

The twin FE gives 0.06, while OLS gives 0.11. Students often assume the lower number is “more correct” because it controls for more. But the twin FE estimate has its own bias: measurement error. When twins report their education, small errors (misremembering a year) are amplified by differencing. The true variation in schooling within twin pairs is small, so even small reporting errors become a large fraction of the signal. This attenuation bias pushes the twin estimate below the true return.

IV: Using the Twin’s Report as an Instrument

But the twin estimate may be biased downward by measurement error in self-reported education. If twins misremember their schooling, the differenced data amplifies noise relative to signal.

The fix: use each twin’s report of the other’s education as an instrument. This report is correlated with true education but has independent measurement error, so it satisfies the IV requirements.

NoteReading the IV2SLS formula syntax

In linearmodels, the IV formula uses square brackets to specify the endogenous variable and its instrument:

  • [educ ~ educt_t] means: educ is the endogenous variable, instrumented by educt_t
  • ~ 0 or ~ 1 controls whether an intercept is included (0 = no intercept, 1 = with intercept)
  • cov_type="robust" gives heteroskedasticity-robust standard errors (equivalent to "HC1" in statsmodels)
# --- Step 1: IV in levels ---
# The bracket syntax [endogenous ~ instrument] tells IV2SLS:
#   educ is the endogenous variable, instrumented by educt_t (twin's report)
# "~ 1" includes an intercept; controls (age, age2, etc.) are exogenous regressors
iv_levels_model = IV2SLS.from_formula(
    "lwage ~ 1 + age + age2 + female + white + [educ ~ educt_t]", data=twins
)
iv_levels = iv_levels_model.fit(cov_type="robust")

# --- Step 2: IV in differences ---
# Same idea but using within-twin differences
# deduc (own-reported education difference) is endogenous
# deduct (twin's report of education difference) is the instrument
# "~ 0" means no intercept (differencing removes the constant)
first_iv = first[["dlwage", "deduc", "deduct"]].dropna()
iv_diff_model = IV2SLS.from_formula(
    "dlwage ~ 0 + [deduc ~ deduct]", data=first_iv
)
iv_diff = iv_diff_model.fit(cov_type="robust")

# --- Step 3: Combine all four estimates into one table ---
# Format each as "coefficient (standard error)"
ols_str = str(round(ols.params["educ"], 3)) + " (" + str(round(ols.bse["educ"], 3)) + ")"
fe_str = str(round(twin_fe.params["deduc"], 3)) + " (" + str(round(twin_fe.bse["deduc"], 3)) + ")"
iv_lev_str = str(round(iv_levels.params["educ"], 3)) + " (" + str(round(iv_levels.std_errors["educ"], 3)) + ")"
iv_dif_str = str(round(iv_diff.params["deduc"], 3)) + " (" + str(round(iv_diff.std_errors["deduc"], 3)) + ")"

pd.DataFrame({
    "Method": ["OLS (levels)", "Twin FE (differences)", "IV (levels)", "IV (differences)"],
    "Return to schooling": [ols_str, fe_str, iv_lev_str, iv_dif_str],
})
Table 6.3: IV estimates using twin’s report of education as instrument. Corrects for measurement error in self-reported schooling.
Method Return to schooling
0 OLS (levels) 0.11 (0.01)
1 Twin FE (differences) 0.062 (0.02)
2 IV (levels) 0.116 (0.011)
3 IV (differences) 0.108 (0.034)
ImportantWhat the twin results tell us
Method Estimate Interpretation
OLS ~0.11 Likely biased UP by ability
Twin FE ~0.06 Biased DOWN by measurement error
IV (levels) ~0.12 Corrects measurement error in levels
IV (differences) ~0.11 Corrects measurement error in differences

The true return is probably 8–11% per year, with OLS slightly overstating and twin FE understating due to different biases.

NoteIntuition Builder: The Bathroom Scale Analogy

Imagine weighing yourself on a bathroom scale that randomly adds or subtracts 5 pounds. On average, the scale is right — but any single reading is noisy. Now suppose you weigh yourself in the morning and evening to measure how much weight you gained during the day. The true gain might be 0.5 lbs, but the scale’s error (±5 lbs in each reading) means the difference between readings is dominated by noise. This is exactly what happens with twin differences in education: the true within-pair variation is small (twins are similar), but measurement error stays the same size, so noise overwhelms the signal.

Strategy 2: Quarter-of-Birth IV

The Idea

Compulsory schooling laws allow students to drop out at age 16. Because school-entry rules are based on birth date cutoffs, children born later in the year start school younger and accumulate more schooling before reaching the dropout age.

This creates an instrument: quarter of birth affects schooling (through compulsory attendance rules) but should not directly affect earnings.

# Load clean quarter-of-birth data (Angrist & Krueger 1991, 329k men born 1930-1939)
qob = pd.read_csv(DATA + "ch6/qob_clean.csv")

# Key variables: lnw = log weekly earnings, s = years of schooling
# qob = quarter of birth (1-4), yob = year of birth, q1-q4 = quarter dummies
qob.head(3)
lnw s qob yob q1 q2 q3 q4 age
0 5.790019 12.0 1 30 1 0 0 0 50.0
1 5.952494 11.0 1 30 1 0 0 0 50.0
2 5.315949 12.0 1 30 1 0 0 0 50.0

The IV Recipe: Step by Step

# Step 1: Reduced form — does Q4 birth predict higher earnings?
rf_model = smf.ols("lnw ~ q4", data=qob)
rf = rf_model.fit(cov_type="HC1")
rf_coef = round(rf.params["q4"], 4)
rf_se = round(rf.bse["q4"], 4)

# Step 2: First stage — does Q4 birth predict more schooling?
fs_model = smf.ols("s ~ q4", data=qob)
fs = fs_model.fit(cov_type="HC1")
fs_coef = round(fs.params["q4"], 4)
fs_se = round(fs.bse["q4"], 4)

# Step 3: Wald estimate = reduced form / first stage
wald = rf.params["q4"] / fs.params["q4"]
wald_rounded = round(wald, 4)

# Step 4: Verify with 2SLS
# [s ~ q4] means: s (schooling) is endogenous, instrumented by q4 (quarter-of-birth dummy)
iv_model = IV2SLS.from_formula("lnw ~ 1 + [s ~ q4]", data=qob)
iv = iv_model.fit(cov_type="robust")
iv_coef = round(iv.params["s"], 4)
iv_se = round(iv.std_errors["s"], 4)

pd.DataFrame({
    "Step": ["Reduced form (Q4 → earnings)", "First stage (Q4 → schooling)",
             "Wald estimate (RF / FS)", "2SLS verification"],
    "Estimate": [
        str(rf_coef) + " (" + str(rf_se) + ")",
        str(fs_coef) + " (" + str(fs_se) + ")",
        str(wald_rounded),
        str(iv_coef) + " (" + str(iv_se) + ")",
    ],
})
Table 6.4: The IV recipe (Wald estimate): reduced form divided by first stage gives the causal return to schooling.
Step Estimate
0 Reduced form (Q4 → earnings) 0.0068 (0.0027)
1 First stage (Q4 → schooling) 0.0921 (0.0132)
2 Wald estimate (RF / FS) 0.074
3 2SLS verification 0.074 (0.028)

Visualizing the First Stage and Reduced Form

import matplotlib.pyplot as plt

# Collapse to cell means by age (= birth cohort)
# Each "age" value maps to one birth cohort, so we compute the average
# schooling, earnings, and quarter indicators for each cohort
cell = qob.groupby("age").agg(
    s=("s", "mean"),       # average years of schooling
    lnw=("lnw", "mean"),   # average log weekly earnings
    q4=("q4", "mean"),     # fraction born in Q4
    q1=("q1", "mean"),     # fraction born in Q1
).reset_index()

# Convert age to year of birth for the x-axis
cell["yob"] = 80 - cell["age"]
# Flag cohorts that are predominantly Q4 or Q1
cell["is_q4"] = cell["q4"] > 0.5
cell["is_q1"] = cell["q1"] > 0.5

fig, axes = plt.subplots(1, 2, figsize=(12, 5))

# First stage: education by year of birth
ax = axes[0]
ax.plot(cell["yob"], cell["s"], "k-", alpha=0.4)
ax.scatter(cell.loc[cell["is_q4"], "yob"], cell.loc[cell["is_q4"], "s"],
           color="black", s=50, zorder=5, label="Quarter 4")
ax.scatter(cell.loc[cell["is_q1"], "yob"], cell.loc[cell["is_q1"], "s"],
           facecolors="none", edgecolors="black", s=50, zorder=5, label="Quarter 1")
ax.set_xlabel("Year of Birth")
ax.set_ylabel("Years of Education")
ax.set_title("First Stage")
ax.legend()

# Reduced form: earnings by year of birth
ax = axes[1]
ax.plot(cell["yob"], cell["lnw"], "k-", alpha=0.4)
ax.scatter(cell.loc[cell["is_q4"], "yob"], cell.loc[cell["is_q4"], "lnw"],
           color="black", s=50, zorder=5, label="Quarter 4")
ax.scatter(cell.loc[cell["is_q1"], "yob"], cell.loc[cell["is_q1"], "lnw"],
           facecolors="none", edgecolors="black", s=50, zorder=5, label="Quarter 1")
ax.set_xlabel("Year of Birth")
ax.set_ylabel("Log Weekly Earnings")
ax.set_title("Reduced Form")
ax.legend()

plt.tight_layout()
plt.show()
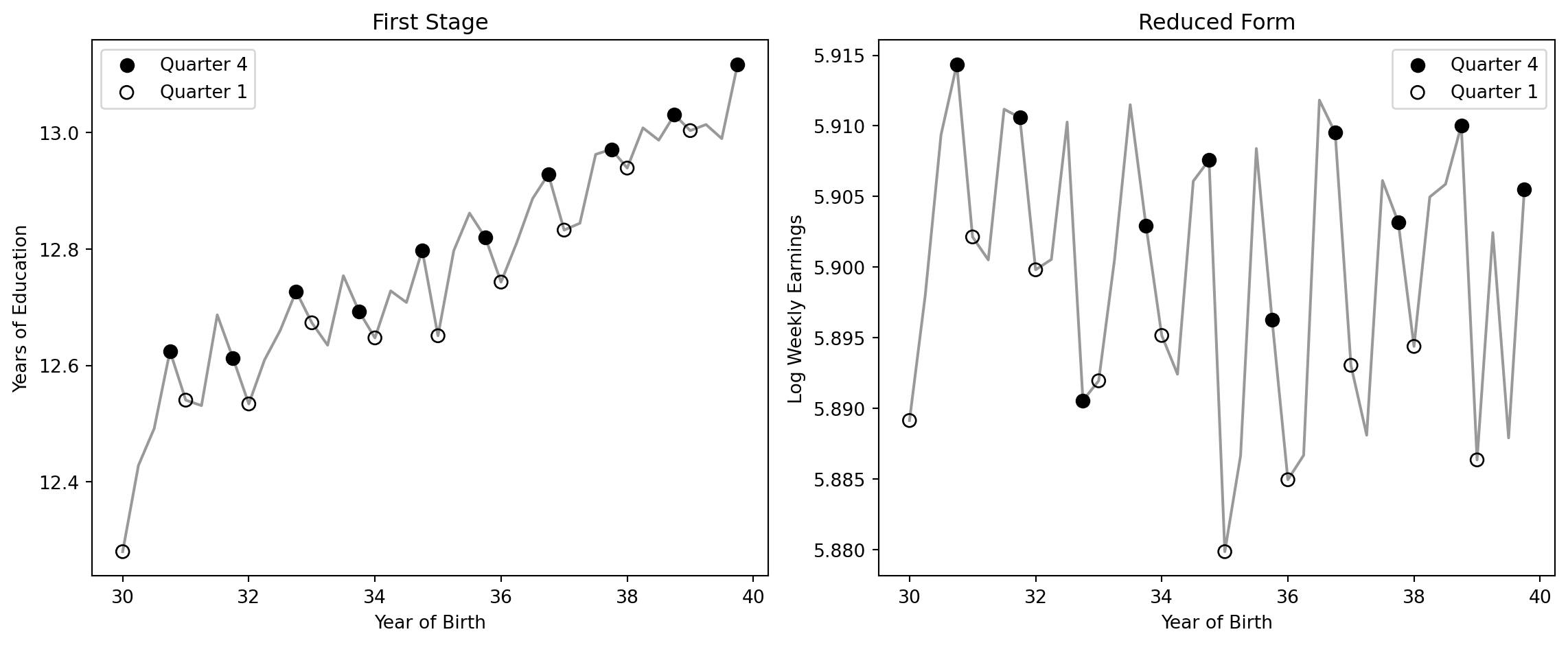
Figure 6.2: First stage (left) and reduced form (right). Q4 births get slightly more schooling and slightly higher earnings. The ratio of these patterns gives the IV estimate.
NoteReading the figures

The sawtooth pattern shows that Q4 births (filled circles) consistently have slightly more education and slightly higher earnings than Q1 births (open circles). The first-stage F-statistic is about 48, well above the weak-instrument threshold of 10. The IV estimate of 7–8% is close to the OLS estimate, suggesting that ability bias may be modest.

The returns to schooling are central to education policy. Should governments subsidize college tuition? Should compulsory schooling ages be raised? The answer depends critically on whether the 7–10% return is causal or inflated by ability. The convergence of evidence from twins, quarter of birth, and other strategies gives policymakers confidence that the return is real and substantial — a year of schooling genuinely increases earnings by 7–10%, making education one of the best investments individuals and governments can make.

Strategy 3: Sheepskin Effects via RD

The Question

Does the diploma itself boost earnings (the signaling/sheepskin view), or is it the skills learned that matter (the human capital view)?

Texas high school students must pass an exit exam to receive their diploma. Students who barely pass vs. barely fail have nearly identical skills but different diploma status. An RD at the passing cutoff isolates the diploma effect.

# Load clean sheepskin RD data (Texas last-chance exam)
sheep = pd.read_csv(DATA + "ch6/sheepskin_clean.csv")

# Key variables: minscore = test score relative to passing cutoff (0 = cutoff)
# pass_exam = 1 if passed, receivehsd = fraction receiving diploma
# avgearnings = average annual earnings
# left_1..left_4, right_1..right_4 = polynomial terms for RD on each side of cutoff
sheep.head(3)
minscore pass_exam receivehsd avgearnings n person_years left_1 right_1 left_2 right_2 left_3 right_3 left_4 right_4
0 -30.0 0 0.416667 11845.086 12 24.0 -30.0 -0.0 900.0 0.0 -27000.0 -0.0 810000.0 0.0
1 -29.0 0 0.387097 9205.679 31 104.0 -29.0 -0.0 841.0 0.0 -24389.0 -0.0 707281.0 0.0
2 -28.0 0 0.318182 8407.745 44 146.0 -28.0 -0.0 784.0 0.0 -21952.0 -0.0 614656.0 0.0
fig, axes = plt.subplots(1, 2, figsize=(13, 5))

# --- Step 1: Split data into below-cutoff (left) and at-or-above-cutoff (right) ---
left = sheep[sheep["minscore"] < 0]
right = sheep[sheep["minscore"] >= 0]

# === Panel 1: Diploma receipt (first stage) ===
ax = axes[0]
ax.scatter(sheep["minscore"], sheep["receivehsd"], color="black", s=20, alpha=0.6)

# Step 2: Fit 4th-order WLS polynomials on each side of the cutoff
# WLS weights by number of observations (n) so bins with more students count more
model_l = smf.wls("receivehsd ~ pass_exam + left_1 + left_2 + left_3 + left_4",
                    data=left, weights=left["n"])
fit_l = model_l.fit()

model_r = smf.wls("receivehsd ~ pass_exam + right_1 + right_2 + right_3 + right_4",
                    data=right, weights=right["n"])
fit_r = model_r.fit()

# Step 3: Predict fitted values for plotting the smooth curves
left_plot = sheep[sheep["minscore"] <= 0].copy()
left_plot["fit"] = fit_l.predict(left_plot)
right_plot = sheep[sheep["minscore"] >= 0].copy()
right_plot["fit"] = fit_r.predict(right_plot)

ax.plot(left_plot["minscore"], left_plot["fit"], "k-", linewidth=2)
ax.plot(right_plot["minscore"], right_plot["fit"], "k-", linewidth=2)
ax.axvline(x=0, color="red", linestyle="--", alpha=0.5)
ax.set_xlabel("Test score relative to cutoff")
ax.set_ylabel("Fraction receiving diploma")
ax.set_title("Diploma Receipt (First Stage)")
ax.set_xlim(-30, 15)
ax.set_ylim(0, 1)

# === Panel 2: Earnings (reduced form) ===
ax = axes[1]
ax.scatter(sheep["minscore"], sheep["avgearnings"], color="black", s=20, alpha=0.6)

# Step 4: Fit polynomial for earnings on each side
# Restrict left side to scores >= -30 for a cleaner fit
# Weight by person-years (more exposure = more reliable earnings estimate)
left_earn_data = left[left["minscore"] >= -30]
earn_model_l = smf.wls("avgearnings ~ pass_exam + left_1 + left_2 + left_3 + left_4",
                         data=left_earn_data, weights=left_earn_data["person_years"])
earn_l = earn_model_l.fit()

earn_model_r = smf.wls("avgearnings ~ pass_exam + right_1 + right_2 + right_3 + right_4",
                         data=right, weights=right["person_years"])
earn_r = earn_model_r.fit()

# Step 5: Predict fitted values for the earnings curves
left_earn = sheep[sheep["minscore"] <= 0].copy()
left_earn["fit"] = earn_l.predict(left_earn)
right_earn = sheep[sheep["minscore"] >= 0].copy()
right_earn["fit"] = earn_r.predict(right_earn)

ax.plot(left_earn["minscore"], left_earn["fit"], "k-", linewidth=2)
ax.plot(right_earn["minscore"], right_earn["fit"], "k-", linewidth=2)
ax.axvline(x=0, color="red", linestyle="--", alpha=0.5)
ax.set_xlabel("Test score relative to cutoff")
ax.set_ylabel("Annual Earnings ($)")
ax.set_title("Earnings (Reduced Form)")
ax.set_xlim(-30, 15)

plt.tight_layout()
plt.show()
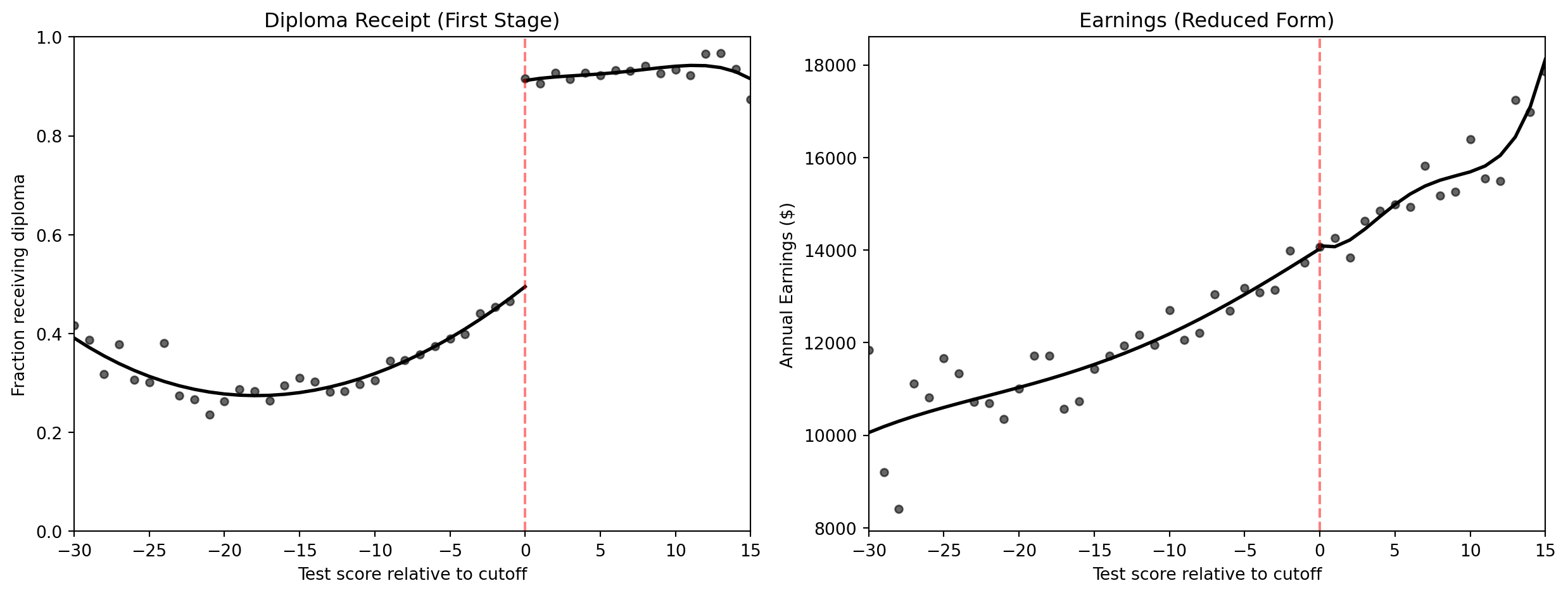
Figure 6.3: RD at the Texas exam cutoff. Left: diploma receipt jumps sharply. Right: earnings barely change. The diploma credential has a small effect on earnings.
ImportantThe sheepskin verdict
  • Diploma receipt jumps by about 40 percentage points at the cutoff (a strong first stage)
  • Earnings show almost no jump — the RD effect is near zero
  • This suggests the diploma credential itself has a modest value; most of the education premium reflects actual learning (human capital), not just the piece of paper (signaling)

The Furious Five: A Capstone Comparison

This chapter applies multiple methods to one question. Here is how all five tools from the book compare:

The Furious Five methods and their role in estimating returns to schooling
Method Chapter Key Assumption What It Estimates Used Here?
RCT 1 Random assignment ATE No (schooling can’t be randomized)
Regression 2 Observable confounders only Conditional average Yes (OLS baseline)
IV / 2SLS 3 Valid instrument LATE (compliers) Yes (twins, QOB)
RD 4 Smooth running variable Local effect at cutoff Yes (sheepskin)
DD 5 Parallel trends ATT Implied (compulsory laws)
NoteConnection to Chapter 4

The sheepskin RD applies the same logic as Chapter 4’s MLDA analysis: exploit a sharp cutoff (exam passing threshold) to estimate a local causal effect. The difference is that here, the RD tests a mechanism (diploma vs. learning) rather than estimating the overall treatment effect. This shows how the same tool can answer different types of questions.

Synthesis: What Is the True Return to Schooling?

Comparing returns to schooling across methods
Method Estimate Main Bias Direction
OLS ~0.11 Ability bias Upward
Twin FE ~0.06 Measurement error Downward
Twin IV ~0.11 Corrects measurement error
Quarter-of-birth IV ~0.07–0.08 LATE for compliers only
Sheepskin RD ~0 Diploma effect specifically
NoteThe big picture

The true causal return to schooling is probably 7–10% per year. OLS slightly overstates it (ability bias), while twin FE understates it (measurement error). The IV estimates, which address both biases, cluster around 7–10%. The near-zero sheepskin effect suggests that the return comes from actual learning, not just credential signaling.

No single method is perfect. The power of this chapter lies in seeing how multiple imperfect strategies converge on a similar answer.

Key Takeaways

graph TD
    Q["Does education cause higher earnings?"]
    AB["Ability bias inflates OLS"]
    TW["Twin FE removes shared ability"]
    ME["Measurement error biases twins down"]
    IV["IV corrects both biases"]
    RD["Sheepskin RD: diploma effect is small"]
    SYN["Synthesis: true return is about seven to ten percent"]

    Q --> AB
    AB --> TW
    TW --> ME
    ME --> IV
    Q --> IV
    Q --> RD
    TW --> SYN
    IV --> SYN
    RD --> SYN

    style Q fill:#2c3e50,color:#fff
    style AB fill:#c0392b,color:#fff
    style TW fill:#8e44ad,color:#fff
    style IV fill:#3498db,color:#fff
    style RD fill:#e67e22,color:#fff
    style SYN fill:#2d8659,color:#fff
    linkStyle default stroke:#fff,stroke-width:2px
Figure 6.4: How the key concepts of Chapter 6 connect
  1. OLS returns to schooling (~11%) are likely inflated by ability bias.

  2. Twin fixed effects (~6%) control for shared ability but suffer from measurement error.

  3. IV using twin’s report corrects measurement error, recovering estimates near 11%.

  4. Quarter-of-birth IV gives 7–8%, using compulsory schooling as exogenous variation.

  5. Sheepskin RD shows the diploma itself has little earnings value — learning matters more.

  6. Multiple methods converge on a true return of about 7–10% per year.

  7. No single method is perfect. The lesson is to use multiple approaches and look for convergence.

Learn by Coding

Copy this code into a Python notebook to reproduce the key results from this chapter.

# ============================================================
# Chapter 6: The Wages of Schooling — Code Cheatsheet
# ============================================================
import pandas as pd
import statsmodels.formula.api as smf
from linearmodels.iv import IV2SLS

DATA = "https://raw.githubusercontent.com/cmg777/intro2causal/main/data/"

# --- Step 1: OLS return to schooling (twins data) ---
twins = pd.read_csv(DATA + "ch6/twins_clean.csv")
model = smf.ols("lwage ~ educ + age + age2 + female + white", data=twins)
ols = model.fit(cov_type="HC1")
print(f"OLS return to schooling: {round(ols.params['educ'], 3)} ({round(ols.bse['educ'], 3)})")
print("  (~11% per year — but may be biased by unobserved ability)\n")

# --- Step 2: Twin fixed effects (within-pair differences) ---
first = twins[twins["first"] == 1]
model = smf.ols("dlwage ~ deduc - 1", data=first)
fe = model.fit(cov_type="HC1")
print(f"Twin FE return: {round(fe.params['deduc'], 3)} ({round(fe.bse['deduc'], 3)})")
print("  (~6% — lower because shared ability is removed)\n")

# --- Step 3: Quarter-of-birth IV (Angrist & Krueger) ---
qob = pd.read_csv(DATA + "ch6/qob_clean.csv")

# First stage: does Q4 birth affect years of schooling?
fs = smf.ols("s ~ q4", data=qob).fit(cov_type="HC1")
print(f"First stage (Q4 → schooling): {round(fs.params['q4'], 4)}")

# Reduced form: does Q4 birth affect earnings?
rf = smf.ols("lnw ~ q4", data=qob).fit(cov_type="HC1")
print(f"Reduced form (Q4 → earnings): {round(rf.params['q4'], 4)}")

# Wald IV estimate
wald = rf.params["q4"] / fs.params["q4"]
print(f"Wald IV estimate: {round(wald, 3)}")

# --- Step 4: 2SLS (same answer, correct standard errors) ---
iv = IV2SLS.from_formula("lnw ~ 1 + [s ~ q4]", data=qob)
iv_result = iv.fit(cov_type="robust")
print(f"\n2SLS estimate: {round(iv_result.params['s'], 3)} ({round(iv_result.std_errors['s'], 3)})")
print("  (~8% per year via quarter-of-birth instrument)")
TipTry it yourself!

Copy the code above and paste it into this Google Colab scratchpad to run it interactively. Modify the variables, change the specifications, and see how results change!

Exercises

Conceptual Questions

CautionConceptual Questions
  1. Ability bias direction: A friend argues that ability bias could go downward (smart people drop out to start businesses). Give one example supporting this view and one supporting the standard upward-bias view. Which do you find more convincing for the general population?

  2. Measurement error: Explain why measurement error in education is more problematic in the twin-differences specification than in the levels OLS. (Hint: think about what differencing does to the signal-to-noise ratio.)

  3. The Wald estimate: Using the QOB data, the reduced form (Q4 → earnings) is 0.0068 and the first stage (Q4 → schooling) is 0.0921. (a) Compute the Wald/IV estimate. (b) Why is this estimate valid only for “compliers”? Who are the compliers in this context?

  4. OLS vs. IV similarity: In the QOB analysis, OLS and IV give similar estimates (~0.07). Does this mean ability bias is small? Or could there be offsetting biases (one pushing up, one pushing down) that happen to cancel? Explain.

  5. Sheepskin interpretation: The Texas RD shows a ~40 percentage point jump in diploma receipt but near-zero earnings effect. A skeptic says “this proves education doesn’t matter.” Explain why this conclusion is wrong. What does the sheepskin RD actually tell us about the mechanism through which education raises earnings?

Research Tasks

CautionResearch Tasks
  1. Returns for men only: Using twins_clean.csv, restrict the sample to male twins (female == 0). Re-run the OLS and within-twin FE regressions. Do the returns to schooling differ for men compared to the full sample?

  2. Multiple instruments: Using qob_clean.csv, run the 2SLS regression using all three quarter dummies (q2, q3, q4) as instruments for schooling instead of just q4. Does the IV estimate change? How does the first-stage F-statistic compare?

  3. White vs. non-white twins: Using twins_clean.csv, split the sample by white status and run the OLS regression for each group. Is the return to schooling different for white vs. non-white twins?

Solutions

Conceptual Questions

Q1. Downward bias example: Mark Zuckerberg dropped out of Harvard to build Facebook and became a billionaire. His high ability generated high earnings without completing his degree, so ability and schooling are negatively correlated for him. Upward bias example: A student with high IQ and supportive parents completes a PhD and earns a high salary. Her ability led to both more schooling and higher earnings independently. For the general population, upward bias is more convincing: most high-ability people complete more education (not fewer), because the education system selects on ability. The Zuckerberg-type dropouts are rare exceptions.

Q2. Measurement error adds noise (\(m_i\)) to the observed schooling variable: \(S_i = S_i^* + m_i\). The signal is the true schooling variation (\(\text{Var}(S^*)\)) and the noise is \(\text{Var}(m)\). In the levels OLS, the reliability ratio is \(r = \text{Var}(S^*) / [\text{Var}(S^*) + \text{Var}(m)]\). When we difference within twin pairs, the true variation \(\text{Var}(\Delta S^*)\) shrinks dramatically (twins are similar in education), but \(\text{Var}(\Delta m)\) stays roughly the same (measurement errors are independent across twins). So the reliability \(r\) falls, and attenuation bias worsens. This is why the twin FE estimate (0.06) is lower than OLS (0.11) — part of the drop is real (ability bias removed), but part is artificial (measurement error amplified).

Q3. (a) Wald estimate = 0.0068 / 0.0921 = 0.074 (about 7.4% per year). (b) This is a LATE — it applies only to compliers, people whose schooling was changed by their quarter of birth. In this context, compliers are students who would have dropped out at the minimum age if born in Q1 (starting school older, reaching dropout age sooner) but who completed more schooling because they were born in Q4 (started younger, accumulated more years before reaching dropout age). These are marginal students at the dropout threshold, not the general population.

Q4. The similarity of OLS and IV could reflect offsetting biases rather than no bias. OLS is biased upward by ability (more able → more school AND higher earnings) but biased downward by measurement error (self-reported schooling has noise). These two biases work in opposite directions. IV using quarter of birth corrects both simultaneously, and the net result happens to be close to OLS. This doesn’t mean there’s no ability bias — it means ability bias and attenuation bias approximately cancel. The twin evidence supports this: when we correct measurement error (IV with twin’s report), the estimate rises; when we control for ability (twin FE), it falls.

Research Tasks

R1.

import pandas as pd
import statsmodels.formula.api as smf

twins = pd.read_csv(DATA + "ch6/twins_clean.csv")

# Full sample OLS and twin FE
model_ols_all = smf.ols("lwage ~ educ + age + age2 + female + white", data=twins)
ols_all = model_ols_all.fit(cov_type="HC1")

first_all = twins[twins["first"] == 1]
model_fe_all = smf.ols("dlwage ~ deduc - 1", data=first_all)
fe_all = model_fe_all.fit(cov_type="HC1")

# Men only
men = twins[twins["female"] == 0]
model_ols_men = smf.ols("lwage ~ educ + age + age2 + white", data=men)
ols_men = model_ols_men.fit(cov_type="HC1")

first_men = men[men["first"] == 1]
model_fe_men = smf.ols("dlwage ~ deduc - 1", data=first_men)
fe_men = model_fe_men.fit(cov_type="HC1")

pd.DataFrame({
    "Method": ["OLS (full sample)", "OLS (men only)", "Twin FE (full sample)", "Twin FE (men only)"],
    "Coefficient": [
        round(ols_all.params["educ"], 4), round(ols_men.params["educ"], 4),
        round(fe_all.params["deduc"], 4), round(fe_men.params["deduc"], 4),
    ],
    "SE": [
        round(ols_all.bse["educ"], 4), round(ols_men.bse["educ"], 4),
        round(fe_all.bse["deduc"], 4), round(fe_men.bse["deduc"], 4),
    ],
    "N": [int(ols_all.nobs), int(ols_men.nobs), int(fe_all.nobs), int(fe_men.nobs)],
})
Table 6.5: Returns to schooling: full sample vs. men only
Method Coefficient SE N
0 OLS (full sample) 0.1100 0.0105 680
1 OLS (men only) 0.1017 0.0186 274
2 Twin FE (full sample) 0.0617 0.0198 340
3 Twin FE (men only) 0.0630 0.0330 136

The male-only estimates may differ from the full sample because the returns to schooling can vary by gender. The smaller sample size for men also increases standard errors. The key pattern (OLS > twin FE) should persist, reflecting ability bias in OLS.

R2.

import numpy as np
from linearmodels.iv import IV2SLS

qob = pd.read_csv(DATA + "ch6/qob_clean.csv")

# --- Specification 1: Single instrument (Q4 only), no year-of-birth controls ---
# [s ~ q4] means: schooling (s) is endogenous, instrumented by the Q4 dummy
iv_q4_model = IV2SLS.from_formula("lnw ~ 1 + [s ~ q4]", data=qob)
iv_q4 = iv_q4_model.fit(cov_type="robust")

# First-stage F-statistic: how strongly does Q4 predict schooling?
fs_q4_model = smf.ols("s ~ q4", data=qob)
fs_q4 = fs_q4_model.fit()
f_q4 = float(np.atleast_1d(fs_q4.f_test("q4 = 0").fvalue).flat[0])

# --- Specification 2: Three instruments (Q2, Q3, Q4) with year-of-birth controls ---
# Step A: Create year-of-birth dummy variables (one per birth year, drop first to avoid collinearity)
yob_dummies = pd.get_dummies(qob["yob"].astype(int), prefix="yob", drop_first=True, dtype=float)

# Step B: Combine the key variables with the year-of-birth dummies into one DataFrame
iv_data = pd.concat([qob[["lnw", "s", "q2", "q3", "q4"]], yob_dummies], axis=1)

# Step C: Build the formula string for year-of-birth controls
# This creates "yob_31 + yob_32 + ... + yob_39" to include in the regression
yob_str = " + ".join(yob_dummies.columns)

# Step D: Run 2SLS with all three quarter dummies as instruments
# [s ~ q2 + q3 + q4] means: s is endogenous, instrumented by Q2, Q3, and Q4
iv_multi_model = IV2SLS.from_formula(
    f"lnw ~ 1 + {yob_str} + [s ~ q2 + q3 + q4]", data=iv_data
)
iv_multi = iv_multi_model.fit(cov_type="robust")

# Step E: First-stage F-statistic for the joint significance of all three instruments
fs_multi_model = smf.ols(f"s ~ q2 + q3 + q4 + {yob_str}", data=iv_data)
fs_multi = fs_multi_model.fit()
f_multi = float(np.atleast_1d(fs_multi.f_test("q2 = 0, q3 = 0, q4 = 0").fvalue).flat[0])

pd.DataFrame({
    "Specification": ["IV (Q4 only, no controls)", "IV (Q2+Q3+Q4, with YOB FE)"],
    "Return to schooling": [round(iv_q4.params["s"], 4), round(iv_multi.params["s"], 4)],
    "SE": [round(iv_q4.std_errors["s"], 4), round(iv_multi.std_errors["s"], 4)],
    "First-stage F": [round(f_q4, 1), round(f_multi, 1)],
})
Table 6.6: IV estimates with single vs. multiple quarter-of-birth instruments
Specification Return to schooling SE First-stage F
0 IV (Q4 only, no controls) 0.0740 0.0280 48.1
1 IV (Q2+Q3+Q4, with YOB FE) 0.1053 0.0201 32.3

Using all three quarter dummies as instruments (with year-of-birth controls) slightly increases the IV estimate and improves precision (smaller SE). The first-stage F-statistic remains well above 10 in both cases, indicating strong instruments. Multiple instruments extract more variation from the data, leading to a more precise estimate at the cost of stronger assumptions (all three quarters must satisfy the exclusion restriction).

Q5. The sheepskin RD does NOT prove education doesn’t matter. It proves that the diploma itself (the credential) has little independent value for students at the margin of passing. The large education premium observed in wage data must therefore come from actual learning and skill development (human capital), not from the signaling value of having a diploma. The RD only tells us about one mechanism (credential vs. learning) at one specific margin (barely passing vs. barely failing a last-chance exam). Education clearly raises earnings — the question is whether it’s the diploma or the skills that matter.

R3.

twins = pd.read_csv(DATA + "ch6/twins_clean.csv")

# Compare OLS returns to schooling for white vs. non-white twins
rows = []
for race, label in [(1, "White"), (0, "Non-white")]:
    subset = twins[twins["white"] == race]
    if len(subset) > 10:
        model = smf.ols("lwage ~ educ + age + age2 + female", data=subset)
        r = model.fit(cov_type="HC1")
        rows.append({
            "Group": label,
            "OLS return": round(r.params["educ"], 4),
            "SE": round(r.bse["educ"], 4),
            "N": int(r.nobs),
        })

pd.DataFrame(rows)
Table 6.7: Returns to schooling by race (OLS, twins data)
Group OLS return SE N
0 White 0.1108 0.0109 623
1 Non-white 0.0985 0.0360 53

The returns may differ by race due to labor market discrimination, different school quality, or different occupational distributions. The non-white subsample is likely small, making the estimate imprecise. Comparing subgroup estimates helps assess whether the overall return masks heterogeneity.